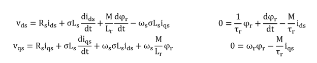
An asynchronous machine is controlled in IRFO (Indirect Rotor Field Orientation). It is a current control; the speed loop is therefore non-existent and the user directly imposes the current references. The three-phase d-q diphase transformation used is that of Clarke.Dynamic modeling of the three-phase asynchronous machine permits to establish in d-q reference:

With:
Rs, Ls, ωs, iqs, ids are respectively the resistance, the inductance, the pulsation and the currents of the stator. φr, Lr, ωr are respectively the flux, the inductance and the pulsation of the rotor.
M : Mutual inductance between stator and rotor.
σ = 1 – M2/LsLr τr= Lr/Rr : Rotor electric time constant τs = Ls/Rs : Stator electric time constant
1- What is this type of control ? On which flux vector the axis « d » of the rotating reference should be directed ?
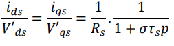
2- The term M/Lr(dφr/dt) is neglected and the terms ωsσLsiqs , ωsσLsids , ωs(M/Lr)×φr are called coupling terms. They can be compensated. Show that the transfer function of the currents of the machine for both axes is:

p is the Laplace operator. V’ds and V’qs have to be defined
3- Show that the rotor flux φr responds with a first order time constant τr .Write its transfer function.
4- Find out how to generate the rotor pulsation ωr and then the Park angle θs.
5- Show that the electromagnetic torque is written : Ce =( 3p/2)×(M/Lr)×φriqs
From this last expression of the torque, explain the principle of vectorial control with Rotor Field Orientation.
