Un atelier dispose d’une installation électrique comportant 3 radiateurs de 1Kw chacun, 6 lampes de 400 W chacune et 2 moteurs M1 et M2.

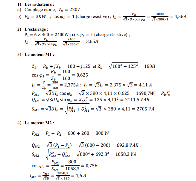
1) Les radiateurs :
a) Indiquer la nature du couplage des trois radiateurs. Quelle est la valeur de la tension VR appliquée aux bornes de chaque radiateur R.
b) Calculer : -la puissance active totale PR consommée par les trois radiateurs, le facteur de puissance cosφR et le courant en ligne IR.
2) L’éclairage :
a) Calculer : -la puissance active totale PL consommée par les 6 lampes, le facteur de puissance cosφL et le courant en ligne IL.
3) Le moteur M1 : le moteur M1 est équivalent à 3 bobines identiques montées en triangle et chacune est soumise à une tension de 380V. Chaque bobine a une résistance Rb= 100 Ω et une réactance Xb = 125 Ω.
Calculer :
- l’impédance complexe de chaque bobine Zb. En déduire son module Zb .
- le facteur de puissance cosφ1 de M1.
- le courant Jb qui traverse une bobine. En déduire le courant Ib dans un fil de ligne.
- la puissance active PM1, la puissance réactive QM1 et la puissance apparente SM1.
4) Le moteur M2: la méthode des deux wattmètres branchés aux bornes du moteur M2 a donné les indications suivantes : P1 = 600W et P2 = 200W.
Calculer :
- la puissance active PM2 absorbée par le moteur, la puissance réactive QM2, la puissance apparente SM2 et le facteur de puissance cosφ2 de M2.
- Le courant IM3 en ligne absorbé par le moteur M2.
5) L’ensemble de l’installation : en appliquant le théorème de Boucherot pour les puissances,
a) calculer la puissance active totale Pi et la puissance réactive totale Qi de l’installation.
b) en déduire, la puissance apparente totale Si, le courant total Ii absorbé et le facteur de puissance cosφi de l’installation.

